Explore the comprehensive NCERT Solutions for Class 12 Science Maths Chapter 5 on Three Dimensional Geometry, featuring clear, step-by-step explanations. Widely favored by class 12 Science students, these solutions prove invaluable for completing homework efficiently and preparing for exams. The Three Dimensional Geometry Solutions offer a user-friendly resource to grasp key concepts quickly. Access free answers to all questions from the NCERT Book of class 12 Science Maths Chapter 5, enhancing your understanding and aiding in academic success.
Page No 467:
Question 1:
If a line makes angles 90°, 135°, 45° with x, y and z-axes respectively, find its direction cosines.
ANSWER:
Let direction cosines of the line be l, m, and n.

Therefore, the direction cosines of the line are![]()
Page No 467:
Question 2:
Find the direction cosines of a line which makes equal angles with the coordinate axes.
ANSWER:
Let the direction cosines of the line make an angle α with each of the coordinate axes.
∴ l = cos α, m = cos α, n = cos α

Thus, the direction cosines of the line, which is equally inclined to the coordinate axes, are ![]()
Page No 467:
Question 3:
If a line has the direction ratios −18, 12, −4, then what are its direction cosines?
ANSWER:
If a line has direction ratios of −18, 12, and −4, then its direction cosines are

Thus, the direction cosines are
.
Page No 467:
Question 4:
Show that the points (2, 3, 4), (−1, −2, 1), (5, 8, 7) are collinear.
ANSWER:
The given points are A (2, 3, 4), B (− 1, − 2, 1), and C (5, 8, 7).
It is known that the direction ratios of line joining the points, (x1, y1, z1) and (x2, y2, z2), are given by, x2 − x1, y2 − y1, and z2 − z1.
The direction ratios of AB are (−1 − 2), (−2 − 3), and (1 − 4) i.e., −3, −5, and −3.
The direction ratios of BC are (5 − (− 1)), (8 − (− 2)), and (7 − 1) i.e., 6, 10, and 6.
It can be seen that the direction ratios of BC are −2 times that of AB i.e., they are proportional.
Therefore, AB is parallel to BC. Since point B is common to both AB and BC, points A, B, and C are collinear.
Page No 467:
Question 5:
Find the direction cosines of the sides of the triangle whose vertices are (3, 5, − 4), (− 1, 1, 2) and (− 5, − 5, − 2)
ANSWER:
The vertices of ΔABC are A (3, 5, −4), B (−1, 1, 2), and C (−5, −5, −2).

The direction ratios of side AB are (−1 − 3), (1 − 5), and (2 − (−4)) i.e., −4, −4, and 6.

Therefore, the direction cosines of AB are

The direction ratios of BC are (−5 − (−1)), (−5 − 1), and (−2 − 2) i.e., −4, −6, and −4.
Therefore, the direction cosines of BC are

−217√, −317√, −217√-217, -317, -217
The direction ratios of CA are 3−(−5), 5−(−5) and −4−(−2) i.e. 8, 10 and -2.
Therefore the direction cosines of CA are
8(8)2 + (10)2 + (−2)2√, 10(8)2 + (10)2 + (−2)2√, −2(8)2 + (10)2 + (−2)2√8242√, 10242√, −2242√442√, 542√, −142√882 + 102 + -22, 1082 + 102 + -22, -282 + 102 + -228242, 10242, -2242442, 542, -142
Page No 477:
Question 1:
Show that the three lines with direction cosines
are mutually perpendicular.
ANSWER:
Two lines with direction cosines, l1, m1, n1 and l2, m2, n2, are perpendicular to each other, if l1l2 + m1m2 + n1n2 = 0
(i) For the lines with direction cosines,
and
, we obtain

Therefore, the lines are perpendicular.
(ii) For the lines with direction cosines,
and
, we obtain

Therefore, the lines are perpendicular.
(iii) For the lines with direction cosines,
and
, we obtain

Therefore, the lines are perpendicular.
Thus, all the lines are mutually perpendicular.
Page No 477:
Question 2:
Show that the line through the points (1, −1, 2) (3, 4, −2) is perpendicular to the line through the points (0, 3, 2) and (3, 5, 6).
ANSWER:
Let AB be the line joining the points, (1, −1, 2) and (3, 4, − 2), and CD be the line joining the points, (0, 3, 2) and (3, 5, 6).
The direction ratios, a1, b1, c1, of AB are (3 − 1), (4 − (−1)), and (−2 − 2) i.e., 2, 5, and −4.
The direction ratios, a2, b2, c2, of CD are (3 − 0), (5 − 3), and (6 −2) i.e., 3, 2, and 4.
AB and CD will be perpendicular to each other, if a1a2 + b1b2+ c1c2 = 0
a1a2 + b1b2+ c1c2 = 2 × 3 + 5 × 2 + (− 4) × 4
= 6 + 10 − 16
= 0
Therefore, AB and CD are perpendicular to each other.
Page No 477:
Question 3:
Show that the line through the points (4, 7, 8) (2, 3, 4) is parallel to the line through the points (−1, −2, 1), (1, 2, 5).
ANSWER:
Let AB be the line through the points, (4, 7, 8) and (2, 3, 4), and CD be the line through the points, (−1, −2, 1) and (1, 2, 5).
The directions ratios, a1, b1, c1, of AB are (2 − 4), (3 − 7), and (4 − 8) i.e., −2, −4, and −4.
The direction ratios, a2, b2, c2, of CD are (1 − (−1)), (2 − (−2)), and (5 − 1) i.e., 2, 4, and 4.
AB will be parallel to CD, if ![]()



Thus, AB is parallel to CD.
Page No 477:
Question 4:
Find the equation of the line which passes through the point (1, 2, 3) and is parallel to the vector
.
ANSWER:
It is given that the line passes through the point A (1, 2, 3). Therefore, the position vector through A is ![]()

It is known that the line which passes through point A and parallel to
is given by
is a constant.

This is the required equation of the line.
Page No 477:
Question 5:
Find the equation of the line in vector and in Cartesian form that passes through the point with position vector
and is in the direction
.
ANSWER:
It is given that the line passes through the point with position vector


It is known that a line through a point with position vector
and parallel to
is given by the equation, ![]()

This is the required equation of the line in vector form.


Eliminating λ, we obtain the Cartesian form equation as

This is the required equation of the given line in Cartesian form.
Page No 477:
Question 6:
Find the Cartesian equation of the line which passes through the point
(−2, 4, −5) and parallel to the line given by![]()
ANSWER:
It is given that the line passes through the point (−2, 4, −5) and is parallel to ![]()
The direction ratios of the line, , are 3, 5, and 6.
The required line is parallel to
Therefore, its direction ratios are 3k, 5k, and 6k, where k ≠ 0
It is known that the equation of the line through the point (x1, y1, z1) and with direction ratios, a, b, c, is given by ![]()
Therefore the equation of the required line is

Page No 477:
Question 7:
The Cartesian equation of a line is
. Write its vector form.
ANSWER:
The Cartesian equation of the line is

The given line passes through the point (5, −4, 6). The position vector of this point is ![]()
Also, the direction ratios of the given line are 3, 7, and 2.
This means that the line is in the direction of vector, ![]()
It is known that the line through position vector
and in the direction of the vector
is given by the equation, ![]()

This is the required equation of the given line in vector form.
Page No 477:
Question 8:
Find the vector and the Cartesian equations of the lines that pass through the origin and (5, −2, 3).
ANSWER:
The required line passes through the origin. Therefore, its position vector is given by,

The direction ratios of the line through origin and (5, −2, 3) are
(5 − 0) = 5, (−2 − 0) = −2, (3 − 0) = 3
The line is parallel to the vector given by the equation, ![]()
The equation of the line in vector form through a point with position vector
and parallel to
is, ![]()

The equation of the line through the point (x1, y1, z1) and direction ratios a, b, c is given by, ![]()
Therefore, the equation of the required line in the Cartesian form is

Page No 478:
Question 9:
Find the vector and the Cartesian equations of the line that passes through the points (3, −2, −5), (3, −2, 6).
ANSWER:
Let the line passing through the points, P (3, −2, −5) and Q (3, −2, 6), be PQ.
Since PQ passes through P (3, −2, −5), its position vector is given by,

The direction ratios of PQ are given by,
(3 − 3) = 0, (−2 + 2) = 0, (6 + 5) = 11
The equation of the vector in the direction of PQ is

The equation of PQ in vector form is given by, ![]()

The equation of PQ in Cartesian form is
i.e.,

Page No 478:
Question 10:
Find the angle between the following pairs of lines:
(i) ![]()

(ii)
and

ANSWER:
(i) Let Q be the angle between the given lines.
The angle between the given pairs of lines is given by, 
The given lines are parallel to the vectors,
and
, respectively.


(ii) The given lines are parallel to the vectors,
and
, respectively.


Page No 478:
Question 11:
Find the angle between the following pairs of lines:

ANSWER:
- Let
and
be the vectors parallel to the pair of lines, , respectively.
and ![]()

The angle, Q, between the given pair of lines is given by the relation,

(ii) Let
be the vectors parallel to the given pair of lines,
and
, respectively.

If Q is the angle between the given pair of lines, then 

Page No 478:
Question 12:
Find the values of p so the line
and
are at right angles.
ANSWER:
The given equations can be written in the standard form as
and 
The direction ratios of the lines are −3,
, 2 and
respectively.
Two lines with direction ratios, a1, b1, c1 and a2, b2, c2, are perpendicular to each other, if a1a2 + b1 b2 + c1c2 = 0

Thus, the value of p is
.
Page No 478:
Question 13:
Show that the lines
and
are perpendicular to each other.
ANSWER:
The equations of the given lines are
and ![]()
The direction ratios of the given lines are 7, −5, 1 and 1, 2, 3 respectively.
Two lines with direction ratios, a1, b1, c1 and a2, b2, c2, are perpendicular to each other, if a1a2 + b1 b2 + c1c2 = 0
∴ 7 × 1 + (−5) × 2 + 1 × 3
= 7 − 10 + 3
= 0
Therefore, the given lines are perpendicular to each other.
Page No 478:
Question 14:
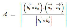
Find the shortest distance between the lines

ANSWER:
The equations of the given lines are

It is known that the shortest distance between the lines,
and
, is given by,

Comparing the given equations, we obtain


Substituting all the values in equation (1), we obtain

Therefore, the shortest distance between the two lines is
units.
Page No 478:
Question 15:
Find the shortest distance between the lines
and ![]()
ANSWER:
The given lines are
and ![]()
It is known that the shortest distance between the two lines, , is given by,

Comparing the given equations, we obtain


Substituting all the values in equation (1), we obtain

Since distance is always non-negative, the distance between the given lines is
units.
Page No 478:
Question 16:
Find the shortest distance between the lines whose vector equations are

ANSWER:
The given lines are
and ![]()
It is known that the shortest distance between the lines,
and
, is given by,

…(1)
Comparing the given equations with
and
, we obtain 


Substituting all the values in equation (1), we obtain

Therefore, the shortest distance between the two given lines is
units.
Page No 478:
Question 17:
Find the shortest distance between the lines whose vector equations are

ANSWER:
The given lines are

It is known that the shortest distance between the lines,
and
, is given by,

For the given equations,




Substituting all the values in equation (3), we obtain

Therefore, the shortest distance between the lines is
units.
Page No 493:
Question 1:
In each of the following cases, determine the direction cosines of the normal to the plane and the distance from the origin.
(a)z = 2 (b) ![]()
(c) (d)5y + 8 = 0
ANSWER:
(a) The equation of the plane is z = 2 or 0x + 0y + z = 2 … (1)
The direction ratios of normal are 0, 0, and 1.
∴ ![]()
Dividing both sides of equation (1) by 1, we obtain

This is of the form lx + my + nz = d, where l, m, n are the direction cosines of normal to the plane and d is the distance of the perpendicular drawn from the origin.
Therefore, the direction cosines are 0, 0, and 1 and the distance of the plane from the origin is 2 units.
(b) x + y + z = 1 … (1)
The direction ratios of normal are 1, 1, and 1.
∴ ![]()
Dividing both sides of equation (1) by
, we obtain

This equation is of the form lx + my + nz = d, where l, m, n are the direction cosines of normal to the plane and d is the distance of normal from the origin.
Therefore, the direction cosines of the normal are
and the distance of normal from the origin is
units.
(c) 2x + 3y − z = 5 … (1)
The direction ratios of normal are 2, 3, and −1.

Dividing both sides of equation (1) by
, we obtain

This equation is of the form lx + my + nz = d, where l, m, n are the direction cosines of normal to the plane and d is the distance of normal from the origin.
Therefore, the direction cosines of the normal to the plane are
and the distance of normal from the origin is
units.
(d) 5y + 8 = 0
⇒ 0x − 5y + 0z = 8 … (1)
The direction ratios of normal are 0, −5, and 0.

Dividing both sides of equation (1) by 5, we obtain

This equation is of the form lx + my + nz = d, where l, m, n are the direction cosines of normal to the plane and d is the distance of normal from the origin.
Therefore, the direction cosines of the normal to the plane are 0, −1, and 0 and the distance of normal from the origin is
units.
Page No 493:
Question 2:
Find the vector equation of a plane which is at a distance of 7 units from the origin and normal to the vector
.
ANSWER:
The normal vector is, ![]()

It is known that the equation of the plane with position vector
is given by, ![]()

This is the vector equation of the required plane.
Page No 493:
Question 3:
Find the Cartesian equation of the following planes:
(a)
(b) ![]()
(c) ![]()
ANSWER:
(a) It is given that equation of the plane is

For any arbitrary point P (x, y, z) on the plane, position vector
is given by, ![]()
Substituting the value of
in equation (1), we obtain

This is the Cartesian equation of the plane.
(b) ![]()
For any arbitrary point P (x, y, z) on the plane, position vector
is given by, ![]()
Substituting the value of
in equation (1), we obtain

This is the Cartesian equation of the plane.
(c) ![]()
For any arbitrary point P (x, y, z) on the plane, position vector
is given by, ![]()
Substituting the value of
in equation (1), we obtain

This is the Cartesian equation of the given plane.
Page No 493:
Question 4:
In the following cases, find the coordinates of the foot of the perpendicular drawn from the origin.

ANSWER:
(a) Let the coordinates of the foot of perpendicular P from the origin to the plane be (x1, y1, z1).
2x + 3y + 4z − 12 = 0
⇒ 2x + 3y + 4z = 12 … (1)
The direction ratios of normal are 2, 3, and 4.

Dividing both sides of equation (1) by
, we obtain

This equation is of the form lx + my + nz = d, where l, m, n are the direction cosines of normal to the plane and d is the distance of normal from the origin.
The coordinates of the foot of the perpendicular are given by
(ld, md, nd).
Therefore, the coordinates of the foot of the perpendicular are ![]()
(b) Let the coordinates of the foot of perpendicular P from the origin to the plane be (x1, y1, z1).

⇒ … (1)
The direction ratios of the normal are 0, 3, and 4.

Dividing both sides of equation (1) by 5, we obtain

This equation is of the form lx + my + nz = d, where l, m, n are the direction cosines of normal to the plane and d is the distance of normal from the origin.
The coordinates of the foot of the perpendicular are given by
(ld, md, nd).
Therefore, the coordinates of the foot of the perpendicular are

(c) Let the coordinates of the foot of perpendicular P from the origin to the plane be (x1, y1, z1).
… (1)
The direction ratios of the normal are 1, 1, and 1.

Dividing both sides of equation (1) by
, we obtain

This equation is of the form lx + my + nz = d, where l, m, n are the direction cosines of normal to the plane and d is the distance of normal from the origin.
The coordinates of the foot of the perpendicular are given by
(ld, md, nd).
Therefore, the coordinates of the foot of the perpendicular are

(d) Let the coordinates of the foot of perpendicular P from the origin to the plane be (x1, y1, z1).

⇒ 0x − 5y + 0z = 8 … (1)
The direction ratios of the normal are 0, −5, and 0.

Dividing both sides of equation (1) by 5, we obtain

This equation is of the form lx + my + nz = d, where l, m, n are the direction cosines of normal to the plane and d is the distance of normal from the origin.
The coordinates of the foot of the perpendicular are given by
(ld, md, nd).
Therefore, the coordinates of the foot of the perpendicular are

Page No 493:
Question 5:
Find the vector and Cartesian equation of the planes
(a) that passes through the point (1, 0, −2) and the normal to the plane is
.
(b) that passes through the point (1, 4, 6) and the normal vector to the plane is
.
ANSWER:
(a) The position vector of point (1, 0, −2) is ![]()
The normal vector
perpendicular to the plane is ![]()
The vector equation of the plane is given by, ![]()

is the position vector of any point P (x, y, z) in the plane.

Therefore, equation (1) becomes

This is the Cartesian equation of the required plane.
(b) The position vector of the point (1, 4, 6) is ![]()
The normal vector
perpendicular to the plane is ![]()
The vector equation of the plane is given by, ![]()

is the position vector of any point P (x, y, z) in the plane.

Therefore, equation (1) becomes

This is the Cartesian equation of the required plane.
Page No 493:
Question 6:
Find the equations of the planes that passes through three points.
(a) (1, 1, −1), (6, 4, −5), (−4, −2, 3)
(b) (1, 1, 0), (1, 2, 1), (−2, 2, −1)
ANSWER:
(a) The given points are A (1, 1, −1), B (6, 4, −5), and C (−4, −2, 3).

Since A, B, C are collinear points, there will be infinite number of planes passing through the given points.
(b) The given points are A (1, 1, 0), B (1, 2, 1), and C (−2, 2, −1).

Therefore, a plane will pass through the points A, B, and C.
It is known that the equation of the plane through the points, ![]()
, and
, is

This is the Cartesian equation of the required plane.
Page No 493:
Question 7:
Find the intercepts cut off by the plane![]()
ANSWER:

Dividing both sides of equation (1) by 5, we obtain

It is known that the equation of a plane in intercept form is
, where a, b, c are the intercepts cut off by the plane at x, y, and z axes respectively.
Therefore, for the given equation,

Thus, the intercepts cut off by the plane are
.
Page No 493:
Question 8:
Find the equation of the plane with intercept 3 on the y-axis and parallel to ZOX plane.
ANSWER:
The equation of the plane ZOX is
y = 0
Any plane parallel to it is of the form, y = a
Since the y-intercept of the plane is 3,
∴ a = 3
Thus, the equation of the required plane is y = 3
Page No 493:
Question 9:
Find the equation of the plane through the intersection of the planes
and
and the point (2, 2, 1)
ANSWER:
The equation of any plane through the intersection of the planes,
3x − y + 2z − 4 = 0 and x + y + z − 2 = 0, is

The plane passes through the point (2, 2, 1). Therefore, this point will satisfy equation (1).

Substituting
in equation (1), we obtain

This is the required equation of the plane.
Page No 493:
Question 10:
Find the vector equation of the plane passing through the intersection of the planes
and through the point (2, 1, 3)
ANSWER:
The equations of the planes are ![]()

The equation of any plane through the intersection of the planes given in equations (1) and (2) is given by,
, where![]()

The plane passes through the point (2, 1, 3). Therefore, its position vector is given by,

Substituting in equation (3), we obtain

Substituting
in equation (3), we obtain

This is the vector equation of the required plane.
Page No 493:
Question 11:
Find the equation of the plane through the line of intersection of the planes
and
which is perpendicular to the plane ![]()
ANSWER:
The equation of the plane through the intersection of the planes,
and
, is

The direction ratios, a1, b1, c1, of this plane are (2λ + 1), (3λ + 1), and (4λ + 1).
The plane in equation (1) is perpendicular to ![]()
Its direction ratios, a2, b2, c2, are 1, −1, and 1.
Since the planes are perpendicular,

Substituting
in equation (1), we obtain

This is the required equation of the plane.
Page No 494:
Question 12:
Find the angle between the planes whose vector equations are
and
.
ANSWER:
The equations of the given planes are
and ![]()
It is known that if
and
are normal to the planes,
and
, then the angle between them, Q, is given by,

Here, ![]()

Substituting the value of
,
in equation (1), we obtain

Page No 494:
Question 13:
In the following cases, determine whether the given planes are parallel or perpendicular, and in case they are neither, find the angles between them.
(a) ![]()
(b) ![]()
(c) ![]()
(d) ![]()
(e) ![]()
ANSWER:
The direction ratios of normal to the plane,
, are a1, b1, c1 and
.

The angle between L1 and L2 is given by,

(a) The equations of the planes are 7x + 5y + 6z + 30 = 0 and
3x − y − 10z + 4 = 0
Here, a1 = 7, b1 =5, c1 = 6


Therefore, the given planes are not perpendicular.

It can be seen that, ![]()
Therefore, the given planes are not parallel.
The angle between them is given by,


(b) The equations of the planes are
and ![]()
Here,
and ![]()

Thus, the given planes are perpendicular to each other.
(c) The equations of the given planes are
and ![]()
Here,
and ![]()
![]()
Thus, the given planes are not perpendicular to each other.

∴ ![]()
Thus, the given planes are parallel to each other.
(d) The equations of the planes are
and ![]()
Here,
and ![]()

∴ ![]()
Thus, the given lines are parallel to each other.
(e) The equations of the given planes are
and ![]()
Here,
and ![]()

Therefore, the given lines are not perpendicular to each other.

∴ ![]()
Therefore, the given lines are not parallel to each other.
The angle between the planes is given by,

Page No 494:
Question 14:
In the following cases, find the distance of each of the given points from the corresponding given plane.
Point Plane
(a) (0, 0, 0) ![]()
(b) (3, −2, 1) ![]()
(c) (2, 3, −5) ![]()
(d) (−6, 0, 0) ![]()
ANSWER:
It is known that the distance between a point, p(x1, y1, z1), and a plane, Ax + By + Cz = D, is given by,

(a) The given point is (0, 0, 0) and the plane is ![]()

(b) The given point is (3, − 2, 1) and the plane is ![]()
∴
(c) The given point is (2, 3, −5) and the plane is ![]()

(d) The given point is (−6, 0, 0) and the plane is ![]()

Page No 497:
Question 1:
Show that the line joining the origin to the point (2, 1, 1) is perpendicular to the line determined by the points (3, 5, −1), (4, 3, −1).
ANSWER:
Let OA be the line joining the origin, O (0, 0, 0), and the point, A (2, 1, 1).
Also, let BC be the line joining the points, B (3, 5, −1) and C (4, 3, −1).
The direction ratios of OA are 2, 1, and 1 and of BC are (4 − 3) = 1, (3 − 5) = −2, and (−1 + 1) = 0
OA is perpendicular to BC, if a1a2 + b1b2 + c1c2 = 0
∴ a1a2 + b1b2 + c1c2 = 2 × 1 + 1 (−2) + 1 ×0 = 2 − 2 = 0
Thus, OA is perpendicular to BC.
Page No 497:
Question 2:
If l1, m1, n1 and l2, m2, n2 are the direction cosines of two mutually perpendicular lines, show that the direction cosines of the line perpendicular to both of these are m1n2 − m2n1, n1l2 − n2l1, l1m2 − l2m1.
ANSWER:
It is given that l1, m1, n1 and l2, m2, n2 are the direction cosines of two mutually perpendicular lines. Therefore,


Let l, m, n be the direction cosines of the line which is perpendicular to the line with direction cosines l1, m1, n1 and l2, m2, n2.

l, m, n are the direction cosines of the line.
∴l2 + m2 + n2 = 1 … (5)
It is known that,

∴ ![]()
Substituting the values from equations (5) and (6) in equation (4), we obtain

Thus, the direction cosines of the required line are ![]()
Page No 498:
Question 3:
Find the angle between the lines whose direction ratios are a, b, c and b − c,
c − a, a − b.
ANSWER:
The angle Q between the lines with direction cosines, a, b, c and b − c, c − a,
a − b, is given by,

Thus, the angle between the lines is 90°.
Page No 498:
Question 4:
Find the equation of a line parallel to x-axis and passing through the origin.
ANSWER:
The line parallel to x-axis and passing through the origin is x-axis itself.
Let A be a point on x-axis. Therefore, the coordinates of A are given by (a, 0, 0), where a ∈ R.
Direction ratios of OA are (a − 0) = a, 0, 0
The equation of OA is given by,

Thus, the equation of line parallel to x-axis and passing through origin is

Page No 498:
Question 5:
If the coordinates of the points A, B, C, D be (1, 2, 3), (4, 5, 7), (−4, 3, −6) and (2, 9, 2) respectively, then find the angle between the lines AB and CD.
ANSWER:
The coordinates of A, B, C, and D are (1, 2, 3), (4, 5, 7), (−4, 3, −6), and
(2, 9, 2) respectively.
The direction ratios of AB are (4 − 1) = 3, (5 − 2) = 3, and (7 − 3) = 4
The direction ratios of CD are (2 −(− 4)) = 6, (9 − 3) = 6, and (2 −(−6)) = 8
It can be seen that, ![]()
Therefore, AB is parallel to CD.
Thus, the angle between AB and CD is either 0° or 180°.
Page No 498:
Question 6:
If the lines
and
are perpendicular, find the value of k.
ANSWER:
The direction of ratios of the lines,
and
, are −3, 2k, 2 and 3k, 1, −5 respectively.
It is known that two lines with direction ratios, a1, b1, c1 and a2, b2, c2, are perpendicular, if a1a2 + b1b2 + c1c2 = 0

Therefore, for
, the given lines are perpendicular to each other.
Page No 498:
Question 7:
Find the vector equation of the line passing through (1, 2, 3) and perpendicular to the plane![]()
ANSWER:
The position vector of the point (1, 2, 3) is ![]()
The direction ratios of the normal to the plane,
, are 1, 2, and −5 and the normal vector is ![]()
The equation of a line passing through a point and perpendicular to the given plane is given by, ![]()

Page No 498:
Question 8:
Find the equation of the plane passing through (a, b, c) and parallel to the plane ![]()
ANSWER:
Any plane parallel to the plane,
, is of the form ![]()
The plane passes through the point (a, b, c). Therefore, the position vector
of this point is ![]()
Therefore, equation (1) becomes

Substituting
in equation (1), we obtain

This is the vector equation of the required plane.
Substituting
in equation (2), we obtain

Page No 498:
Question 9:
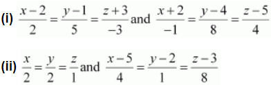
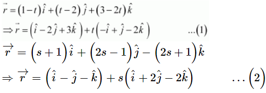
Find the shortest distance between lines ![]()
and
.
ANSWER:
The given lines are

It is known that the shortest distance between two lines,
and
, is given by

Comparing
to equations (1) and (2), we obtain



Substituting all the values in equation (1), we obtain

Therefore, the shortest distance between the two given lines is 9 units.
Page No 498:
Question 10:
Find the coordinates of the point where the line through (5, 1, 6) and
(3, 4, 1) crosses the YZ-plane
ANSWER:
It is known that the equation of the line passing through the points, (x1, y1, z1) and (x2, y2, z2), is ![]()
The line passing through the points, (5, 1, 6) and (3, 4, 1), is given by,

Any point on the line is of the form (5 − 2k, 3k + 1, 6 −5k).
The equation of YZ-plane is x = 0
Since the line passes through YZ-plane,
5 − 2k = 0


Therefore, the required point is
.
Page No 498:
Question 11:
Find the coordinates of the point where the line through (5, 1, 6) and
(3, 4, 1) crosses the ZX − plane.
ANSWER:
It is known that the equation of the line passing through the points, (x1, y1, z1) and (x2, y2, z2), is ![]()
The line passing through the points, (5, 1, 6) and (3, 4, 1), is given by,

Any point on the line is of the form (5 − 2k, 3k + 1, 6 −5k).
Since the line passes through ZX-plane,


Therefore, the required point is
.
Page No 498:
Question 12:
Find the coordinates of the point where the line through (3, −4, −5) and (2, − 3, 1) crosses the plane 2x + y + z = 7).
ANSWER:
It is known that the equation of the line through the points, (x1, y1, z1) and (x2, y2, z2), is ![]()
Since the line passes through the points, (3, −4, −5) and (2, −3, 1), its equation is given by,

Therefore, any point on the line is of the form (3 − k, k − 4, 6k − 5).
This point lies on the plane, 2x + y + z = 7
∴ 2 (3 − k) + (k − 4) + (6k − 5) = 7

Hence, the coordinates of the required point are (3 − 2, 2 − 4, 6 × 2 − 5) i.e.,
(1, −2, 7).
Page No 498:
Question 13:
Find the equation of the plane passing through the point (−1, 3, 2) and perpendicular to each of the planes x + 2y + 3z = 5 and 3x + 3y + z = 0.
ANSWER:
The equation of the plane passing through the point (−1, 3, 2) is
a (x + 1) + b (y − 3) + c (z − 2) = 0 … (1)
where, a, b, c are the direction ratios of normal to the plane.
It is known that two planes,
and
, are perpendicular, if ![]()
Plane (1) is perpendicular to the plane, x + 2y + 3z = 5

Also, plane (1) is perpendicular to the plane, 3x + 3y + z = 0

From equations (2) and (3), we obtain

Substituting the values of a, b, and c in equation (1), we obtain

This is the required equation of the plane.
Page No 498:
Question 14:
If the points (1, 1, p) and (−3, 0, 1) be equidistant from the plane
, then find the value of p.
ANSWER:
The position vector through the point (1, 1, p) is ![]()
Similarly, the position vector through the point (−3, 0, 1) is

The equation of the given plane is ![]()
It is known that the perpendicular distance between a point whose position vector is
and the plane,
is given by, 
Here,
and d![]()
Therefore, the distance between the point (1, 1, p) and the given plane is

Similarly, the distance between the point (−3, 0, 1) and the given plane is

It is given that the distance between the required plane and the points, (1, 1, p) and (−3, 0, 1), is equal.
∴ D1 = D2


Page No 498:
Question 15:
Find the equation of the plane passing through the line of intersection of the planes
and
and parallel to x-axis.
ANSWER:
The given planes are


Its direction ratios are (2λ + 1), (3λ + 1), and (1 − λ).
The required plane is parallel to x-axis. Therefore, its normal is perpendicular to x-axis.
The direction ratios of x-axis are 1, 0, and 0.

Substituting
in equation (1), we obtain

Therefore, its Cartesian equation is y − 3z + 6 = 0
This is the equation of the required plane.
Page No 498:
Question 16:
If O be the origin and the coordinates of P be (1, 2, −3), then find the equation of the plane passing through P and perpendicular to OP.
ANSWER:
The coordinates of the points, O and P, are (0, 0, 0) and (1, 2, −3) respectively.
Therefore, the direction ratios of OP are (1 − 0) = 1, (2 − 0) = 2, and (−3 − 0) = −3
It is known that the equation of the plane passing through the point (x1, y1z1) is
where, a, b, and c are the direction ratios of normal.
Here, the direction ratios of normal are 1, 2, and −3 and the point P is (1, 2, −3).
Thus, the equation of the required plane is

Page No 498:
Question 17:
Find the equation of the plane which contains the line of intersection of the planes
,
and which is perpendicular to the plane
.
ANSWER:
The equations of the given planes are

The equation of the plane passing through the line intersection of the plane given in equation (1) and equation (2) is

The plane in equation (3) is perpendicular to the plane, ![]()

Substituting
in equation (3), we obtain

This is the vector equation of the required plane.
The Cartesian equation of this plane can be obtained by substituting
in equation (3).

Page No 499:
Question 18:
Find the distance of the point (−1, −5, −10) from the point of intersection of the line
and the plane
.
ANSWER:
The equation of the given line is

The equation of the given plane is

Substituting the value of
from equation (1) in equation (2), we obtain

Substituting this value in equation (1), we obtain the equation of the line as

This means that the position vector of the point of intersection of the line and the plane is ![]()
This shows that the point of intersection of the given line and plane is given by the coordinates, (2, −1, 2). The point is (−1, −5, −10).
The distance d between the points, (2, −1, 2) and (−1, −5, −10), is

Page No 499:
Question 19:
Find the vector equation of the line passing through (1, 2, 3) and parallel to the planes
and
.
ANSWER:
Let the required line be parallel to vector
given by,

The position vector of the point (1, 2, 3) is ![]()
The equation of line passing through (1, 2, 3) and parallel to
is given by,

The equations of the given planes are

The line in equation (1) and plane in equation (2) are parallel. Therefore, the normal to the plane of equation (2) and the given line are perpendicular.


From equations (4) and (5), we obtain

Therefore, the direction ratios of
are −3, 5, and 4.

Substituting the value of
in equation (1), we obtain

This is the equation of the required line.
Page No 499:
Question 20:
Find the vector equation of the line passing through the point (1, 2, − 4) and perpendicular to the two lines: ![]()
ANSWER:
Let the required line be parallel to the vector
given by, ![]()
The position vector of the point (1, 2, − 4) is ![]()
The equation of the line passing through (1, 2, −4) and parallel to vector
is

The equations of the lines are

Line (1) and line (2) are perpendicular to each other.

Also, line (1) and line (3) are perpendicular to each other.

From equations (4) and (5), we obtain

∴Direction ratios of
are 2, 3, and 6.

Substituting
in equation (1), we obtain

This is the equation of the required line.
Page No 499:
Question 21:
Prove that if a plane has the intercepts a, b, c and is at a distance of P units from the origin, then ![]()
ANSWER:
The equation of a plane having intercepts a, b, c with x, y, and z axes respectively is given by,

The distance (p) of the plane from the origin is given by,

Page No 499:
Question 22:
Distance between the two planes:
and
is
(A)2 units (B)4 units (C)8 units
(D)![]()
ANSWER:
The equations of the planes are



It can be seen that the given planes are parallel.
It is known that the distance between two parallel planes, ax + by + cz = d1 and ax + by + cz = d2, is given by,

Thus, the distance between the lines is
units.
Hence, the correct answer is D.
Page No 499:
Question 23:
The planes: 2x − y + 4z = 5 and 5x − 2.5y + 10z = 6 are
(A) Perpendicular (B) Parallel (C) intersect y-axis
(C) passes through ![]()
ANSWER:
The equations of the planes are
2x − y + 4z = 5 … (1)
5x − 2.5y + 10z = 6 … (2)
It can be seen that,

∴ ![]()
Therefore, the given planes are parallel.
Hence, the correct answer is B.